+1 vote
546 views
by (130 points)
dy/dx=(x+y)^2

2 Answers

0 votes
by (10.3k points)

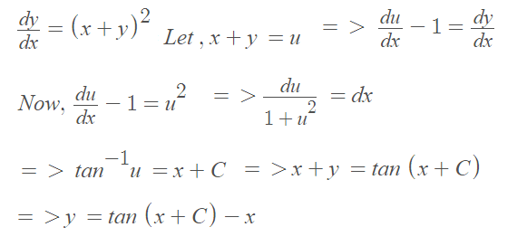
Below is the solution,

Differentiation

Hope it will help you. If you have any doubt, please let me know via comment or direct message. Source: Quora.

0 votes
by (190 points)

= x2  + y​​​​​​2  + 2yx 

= 2x + 0 + 2y 

=2x + 2y

...